近日,我校数学与信息学院、软件学院网络空间安全研究团队马莎副教授和黄琼教授在IEEE Transactions on Information Forensics and Security(CCF A类推荐期刊,中科院计算机科学一区Top期刊,最新影响因子6.8)发表了题为“MTER: An Efficient Multi-User Threshold Equality Retrieval for Double Auction in Smart Grid Market”的研究论文(论文链接为https://ieeexplore.ieee.org/document/10186375)。

图1 论文首页截图
随着电力消耗的增加和可再生能源的广泛应用,能源拍卖因其经济效益而受到人们的广泛关注。近年来,大量研究采用双边拍卖机制设计了智能电网的市场模型。然而,很少有研究考虑在拍卖过程中,从所有密封的投标中快速安全地识别出赢家。采用现有的公钥多用户可搜索加密技术,买卖双方在能源拍卖阶段需要完全信任集中式的拍卖服务器。然而,不可信的拍卖服务器可能会在搜索阶段伪造潜在的赢家以获得最大利益,从而导致交易风险。为了解决集中式拍卖服务器的信任问题,实现在智能电网拍卖市场中去中心化的能源交易。本研究提出了一个高效的多用户门限等值检索方案,并应用于智能电网中的双边拍卖,其中至少K个拍卖服务器(AS)分别选取买家(EB)和卖家(DER)的投标,并用公钥验证密封投标(Ciphertext)的正确性。如果验证正确,组合器(Combiner)执行测试算法判断密封投标是否应该加入中标候选序列。最后,注册服务器(RS)通过双边拍卖机制在候选序列中选取最终买卖双方赢家。

图2 智能电网系统架构
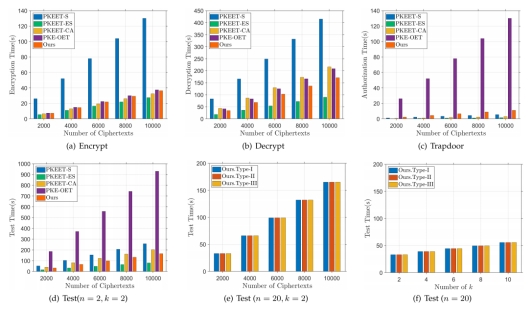
本研究提出了一种高效的多用户门限等值检索(T-PKEET)系统。它能够生成两种类型的测试密钥,支持三种类型的门限测试,因此为用户提供了灵活的授权,满足了不同场景下的安全性要求。本文基于判定性双线性Diffie-Hellman假设在标准模型下实现了st-IND-CCA2安全性。最后的实验表明本研究提出的T-PKEET方案具有更好的测试效率和更低的加密成本,从而揭示了该方案在智能电网拍卖市场中的实用性。
图3 三种测试类型
图4 实验效率对比
该项研究得到了国家自然科学基金(61872409, 61872152, 62272174)、广东省基础与应用基础研究基金(2020A1515010751, 2019B030302008)以及广州市科技计划项目(201902010081)等资助。
近年来黄琼教授团队在数据安全保护与查询、数据安全审计等方面开展了一系列研究工作,取得了一系列研究成果,近3年已在IEEE TIFS(CCF A类推荐期刊)、IEEE TDSC(CCF A类推荐期刊)、IEEE TSC(CCF A类推荐期刊)等信息安全和服务计算领域Top期刊上发表了10篇高水平论文。